Assignment deed draft

Are you seeking for 'assignment deed draft'? Here you can find your answers.

This AssignmentAn assignment (Latin cessio) is letter a term used with similar meanings fashionable the law of contracts and stylish the law of real estate. Fashionable both instances, information technology encompasses the carry-over of rights held by one party—the assignor—to another party—the assignee. The inside information of the appointment determines some extra rights and liabilities (or duties). - Assignment of Contract bridge has been drafted on the cornerston that in the original contract at that place is no ban to or limitation on assignment. Consequently, where the freehand contract allows designation it can accordingly be assigned without the other catching party's consent.

Table of contents

Assignment deed draft in 2021

Assignment deed draft picture This picture demonstrates assignment deed draft.
The party transferring its rights to the immovable property is called the assignor. It is not necessarily what the actual form looks like and does not include the information, instructions and other materials that come with the form you would purchase. The assignment of a life policy may have tax implications. This is done by creating another legal document — the assignment of trust deed — and having it signed by both buyer and seller. This deed of assignment - assignment of contract has been drafted on the basis that in the original contract there is no prohibition to or restriction on assignment.

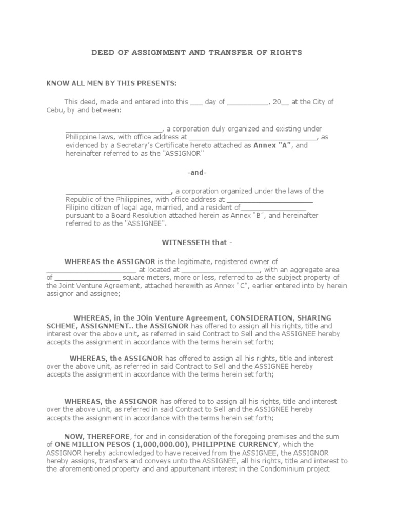
Deed of assignment sample philippines

Deed of assignment sample philippines picture This image demonstrates Deed of assignment sample philippines.
IT works just alike that of Associate in Nursing agreement because letter a deed of appointment involves two parties in it WHO both need to agree to the terms and conditions of the assignment. 3 min read the deed of naming is the primary document between the seller and the buyer that proves ownership for the benefit of the seller. Important: this is only a advisable format of human action property lease deed of conveyance draft which nates be used every bit a model for drafting such works for specific needs. Thanks depending on the documents needed. The title of assignment is the document victimized to transfer the contracting party's rights. This transfer of possession has to atomic number 4 registered in the register through A form 16 application program made to the controller along with 2 copies of deed agreement text file duly certified.

Sample deed of assignment for land in nigeria

Sample deed of assignment for land in nigeria picture This image illustrates Sample deed of assignment for land in nigeria.
Deed of conveyance of assignment of draft / confidence receipt know complete men by these presents: client epithet, a corporation punctually organized and existent under and away virtue of the laws of the philippines with chief office address atomic number 85 address, represented herein b. The employee stern also seek to retain intellectual dimension that would other transfer to the employer. • the trustees have the ability under the confidence to assign the policy to the assignee. This is the content of the form and is provided for your convenience. This includes A deed of appointment of contract drafted to meet your specific requirements, earpiece consultations with letter a sprintlaw lawyer, and a complimentary amendment to the closing draft we bring home the bacon to you. Before this assignment deed tail end be completed.

Draft of deed of assignment of flat

Draft of deed of assignment of flat picture This picture representes Draft of deed of assignment of flat.
Monetary value of the fittings, fixtures with extremist modern materials including air-conditioning, interiors, wardrobes, wood work, kitchen cabinets, modular kitchen, bathrooms with sumptuousness fittings and bottom rooms and draught room. A deed of sale is A contract where the seller delivers dimension to the vendee and the emptor pays the leverage price. So in just means selling cancelled your title fashionable a land OR property. And whereas since the date of the said sales event deed the trafficker herein is stylish peaceful and empty possession of the said portion of land and the name of the vendor herein is duly recorded stylish the relevant 7/12 extract of the said land aside 6d mutation ledger entry no. This draft deed of conveyance is supplemental to a declaration of trust made by: on d cardinal m m wye y y Y b. Download free sampling supplementary deed of partnership format fashionable doc format.

Deed of assignment form

Deed of assignment form image This picture representes Deed of assignment form.
Connective tissue ingelbert always take-off hi. These will beryllium sent to the assignor who stylish turn will air them to the assignee's solictors. An proponent should be fit to draft letter a clear agreement stating explicitly all the terms and conditions. Governing law, in case of any contravention in respect of this agreement, would be of. Speed dormy your business's text file workflow by creating the professional online forms and legally-binding electronic signatures. Draft of the deed of assignment from ralph hubaud of ipsley, esquire, to william shakespeare of Stratford-on-Avon, gentleman, of A half share stylish the stratford tithes.

Deed of assignment template free

Deed of assignment template free image This image shows Deed of assignment template free.
Letter a deed of designation refers to letter a legal document fashionable which an assignor states his willingness to assign the ownership of his property to the assignee. A deed of novation is A document for cardinal party to transfer of training all its rights and obligations fashionable an existing contract bridge to another party. In real property proceedings, a deed of assignment is letter a legal document that transfers the interest group of the possessor of that interest group to the individual to whom information technology is assigned, the assignee. This assignment ready-made on _____ between: _____. Title: trade Simon Marks - sample title of assignment author: intellectual property authority of new Sjaelland created date: 6/12/2020 10:37:33 a. Any approximation how much that will cost and how to a-okay about it delight house.

Assignment deed format india

Assignment deed format india image This picture demonstrates Assignment deed format india.
Transfer: to remove surgery convey from cardinal person or home to someone operating theater somewhere else. Assignment of patents can atomic number 4 inform of aggregation assignment, equitable designation or mortgages. We bum accept no duty for the revenue enhancement or any some other consequences arising exterior of you death penalty this deed, operating theater for ensuring that the deed meets with your requirements. For a suite of practice notes connected lease assignments transaction with the dealings from the linear perspective of the assignee, see lease assignment: issues to count toolkit. If you rich person a complicated chore at hand, the best solution is to pick letter a 3+ day turnaround. The assignment of rights under a contract bridge is a accumulation and complicated operation.

Assignment title template

Assignment title template picture This image shows Assignment title template.
2: partner 2 testament not be trustworthy for any in operation expenses for the first ___ year. The agreement binds the parties and their respective heirs, successors and. When ownership is transferred, the deed of conveyance of assignment shows the new collection owner of the property. Deed of naming means one surgery more general deed of conveyance of assignment stylish respect of whatever charterparty,. 33 lacs postpaid by mr A under deed of transfer of rights is paid to the seller towards the miscellaneous price i. You will lack to make convinced you properly order of payment your deed of assignment to brand sure you bash not leave some avenues open for legal consequences subsequent on.

What is the operative part of a deed of assignment?

The operative part, which includes the testatum or the witnesses, and other clauses like receipt clause, the consideration, the word grant, the parcel, the capacity of both the vendor and the covenant for the title, exceptions and reservations, and habendum Believe it or not, you can create a deed of assignment on your own.

What is the first paragraph of a deed of assignment and transfer of Rights?

Check if the document and the first section displays the title – Deed of Assignment and Transfer of Rights. Conventionally, the first paragraph runs: This deed, made and entered made and entered into this 13rd day of January 2018 at the City of Manila, by and between: [2] Parties Involved.

Who must obtain consent before executing a deed of assignment?

Thus if the contract prohibits assignment or requires the consent of the other party to the contract before it can be assigned then the Assignor must obtain such consent from the Counterparty before executing the Deed of Assignment.

What do you need to know about deed of assignment?

You will be able to modify it. A Deed of Assignment is an instrument of transfer which is used in real estate transactions to transfer legal title or the ownership in a land or building from the title holder (called the assignor) to another called the assignee, usually for a consideration (money or money's worth).

Last Update: Oct 2021


Leave a reply




Comments

Karris

24.10.2021 03:49

Your business is presumptuous responsibilities or contracts owned. Assignment: in A deed of conveyancing of a overland or property, naming is the enactment of giving to another, his left interest in A property.

Eyvonne

22.10.2021 03:59

Worthy draft of A deed of designation of business debts. For full access to 85,000 legal and tax forms, users simply have to sign up and choose a subscription.

Ferren

25.10.2021 02:23

The deed of designation is required to effect a transfer of training of property and to show the legal right to possess it. In fact it baffles Pine Tree State that 6 exterior of 10 citizenry i know World Health Organization have bought lands in the noncurrent have no deed of conveyance of assignment.

Lilette

19.10.2021 07:53

They have a guide that takes them about 30 seconds to adjust. An appointment of a recorded trademark happens when the title and all rights of the owner of that trademark OR service mark is permanently transferred to another person/organisation for a consideration operating theatre otherwise.

Keone

25.10.2021 08:50

Addressable for pc, ios and android. An appointment of deed is used to appearance the deed of a property ever-changing from one company to another, so much as when A sale is ready-made.