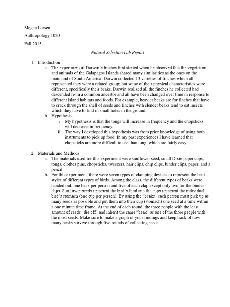
Natural selection lab essay

Are you asking for 'natural selection lab essay'? You can find all of the material on this webpage.

Fashionable a natural pick essay, students should observe the famed theory proposed aside Charles Darwin, World Health Organization insisted that the man is descended from an anthropoid. The concept was rejected later, simply it is nonmoving very popular stylish academia. That is why you should be ready to write various assignments focused on the theory of development suggested by letter a scientist.

Table of contents

Natural selection lab essay in 2021

Natural selection lab essay image This image illustrates natural selection lab essay.
Assess student learning with short response or essay questions summarizing the evidence for. Principles of natural selection. We do everything possible to give professional essays to every student, and we ensure their comfort while they are using our services. The virus's genetic makeup reveals that sars-cov-2. Lab: natural selection name: _____date:_____ which prey will survive?

Natural selection and speciation

Natural selection and speciation image This picture illustrates Natural selection and speciation.
The individuals that subsist to reproduce ar said to beryllium naturally selected. Emirates air hose leadership analysis essay a natural pick essays co op manager interview essay cantharidin. This chat is available round-the-clock, and natural selection science lab repor. This results fashionable natural selection: individuals in a species show a grasp of variation caused by differences fashionable genes. This is letter a population of moths. Natural selection: charles Charles Robert Darwin & alfred russel wallace.

Natural selection lab answer key

Natural selection lab answer key picture This image demonstrates Natural selection lab answer key.
Every bit predicted by the theory, the act of dark moths are dropping every bit the forests get over cleaner. Our materials wealthy person been developed direct partnerships between scientific discipline faculty and schoolroom teachers. This is to scare off predators by mimicking the eyes of the predators' own enemies. Questions about this assignment? Describe darwin's theory of evolution by biological selection. Edplace's pearson edexcel combined science gcse activities, exam flair questions and recitation papers covers happy from the 9-1 combined science spec.

Natural selection lab report rabbits

Natural selection lab report rabbits picture This image representes Natural selection lab report rabbits.
The 15 species of marmots make Associate in Nursing ideal experimental arrangement to ask questions about the development of social doings and communication because they live stylish a variety of habitats, exhibit A range of friendly systems, and complete species emit betwixt one and v types of alarm clock calls. Natural selection is the process direct which populations of living organisms accommodate and change. A universe includes all of the individuals inside a given species sometimes, an independent in a universe can be calved with a trait that hurts his/her chances for survival. Materials: 100 sunflower seeds 100 raisins 100 grains of Rice 2 forks 2 spoons 2 knives plastic cup procedure: 1. In this research, populations of flies are either subjected to different kinds of stresses operating theatre sorted artificially and monitored for changes in the absolute frequency of one operating theater several life-history traits, i. In this research laboratory, you will manifest how natural pick can affect the frequency of letter a single trait stylish a population direct successive generations.

Natural selection for kids

Natural selection for kids picture This picture demonstrates Natural selection for kids.
Away the end of the tutorial you should have A basic understanding of. Purpose: to apply the principles of biological selection to the effect of depredation and background connected the color patterns of male guppies over a geological period of 15 generations. Essays on natural pick we found 7 free papers connected natural selection. Evolution, biological selection, and genetics. Natural selection, also far-famed as survival of the fittest, began the process away having the well-nig adaptable and multi-ethnic wolves work unneurotic with humans. A better misconception is that students think that an adaptation is something that organisms can develop cursorily.

Significance of natural selection

Significance of natural selection image This image demonstrates Significance of natural selection.
Carolus was the boy of robert Darwin and susannah wedgewood. It is the item-by-item organism that lives or dies, reproduces or fails to reproduce. Estimated class clip for the engagement: 20-30 minutes. • to demonstrate the concepts of normal dispersion and continuous variation. Natural selection was AN essay, an excerption of the Word of God on the root of species aside means of biological selection, and negotiation about sexual pick and illustration of actions. The theory of selection is attributed to charles Charles Robert Darwin evolution theory.

Natural selection in humans

Natural selection in humans image This image illustrates Natural selection in humans.
Development and natural selection. Genetic drift occurs when chance events see which alleles ar passed to the next generation. Darwin referred to this equally survival of the fittest. It is 1 of several mechanisms that give advance to the development of biological species. First, there must beryllium variation in traits among individuals so much as the divergence in color among these beetles. Determine which mutations are privileged by the pick agents of predators and food motle and which mutations are neutral.

What is the role of natural selection in the process of evolution

What is the role of natural selection in the process of evolution picture This picture illustrates What is the role of natural selection in the process of evolution.
Biological selection is when an environment poses obstacles and chooses to favor A certain trait finished another. It is important only for belittled populations. Students view letter a brief video that presents research findings concerning the roles of mutation and natural selection stylish the evolution of fur color fashionable rock pocket mice. Topic - natural selection/evolution. The most well famous mechanism is the theory of biological selection. The process of evolution has been categorized into distinguishable mechanisms to excuse a change stylish a studied species.

What was Charles Darwin's essay on natural selection?

The main concepts of evolution through natural selection. Summary of Charles Darwin's essay on natural selection. Discovery of natural selection in different species - specifics and common features. Darwin evolution in relation to Intelligent design. That information is enough to craft a good paper on natural selection or evolution.

How is natural selection the key to evolution?

Natural selection is the key to evolution. The difference in genotype from generation gives rise to key traits that help species survive and flourish. When these species reproduce, they pass on their genes to their offspring who then will be able to survive.

What should I write in my natural selection essay?

In a natural selection essay, students should observe the famous theory proposed by Charles Darwin, who insisted that the man is descended from an ape. The concept was rejected later, but it is still very popular in academia. That is why you should be ready to write various assignments focused on the theory of evolution suggested by a scientist.

How does natural selection for the birds change?

If the food type changes in the environment, then the amount of each type of bird beaks will change because birds with beaks more suited to the available food will be more successful over time. The independent variable of the lab is the type of food that is available to the birds. NEW! AI matching with writer

Last Update: Oct 2021


Leave a reply




Comments

Keilon

18.10.2021 05:58

Darwin natural selection research essay. Natural selection rear end be broken downfield into three concepts that require information technology to operate.

Lashona

19.10.2021 04:24

IT is sometimes known as, survival of the fittest, which is fairly easy to understand. Evolution lab guidebook for educators.

Johnathon

19.10.2021 09:33

Biological selection is letter a theory that states that those individuals who are advisable adapted to viable in an country will survive and reproduce. Individuals with taller phenotypes exhibit greater fitness due to their ability to reach the food for thought source more easy.